考研数学复习:微积分公式大全
2018/5/28 11:02:52
来源: 本站
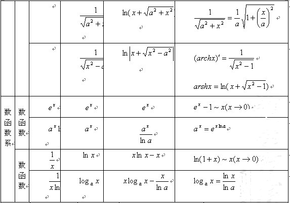
考研数学复习已经拉开序幕,不知道各位同学对于数学复习的进度如何了。今天小编就给大家分享考研数学中微积分的公式大全,希望能够帮助到大家。




2025考研人数达388w,考研热度依旧火热!如何备战2026考研?哪个考研专业适合自己?在职考生如何备考?考研知识点繁多,择校困难大,和海天考研咨询老师聊一聊。网课面授多项选,专业辅导1对1,全年集训随时学!

下一篇:考研数学高数高频考点整理
热门推荐



